Homepage

Datenschutzerklärung

Mathematik

Autor fast aller unten angeführten Schriften bin ich, Kai Oliver Böhnke.
Dies sind Niederschriften, die während meines Studiums Mitte der 1980er Jahre (ab Oktober 1982 bis 1988) entstanden sind.
Einige kleine Programme sind in BASIC für einen Sharp PC-1401 (Pocket-Computer) geschrieben, manchmal auch in FORTRAN.
Für die Richtigkeit bzw. Fehlerfreiheit kann ich KEINE Gewähr übernehmen! Sie verwenden diese Informationen auf eigenes Risiko !
Sie können mir natürlich Fragen stellen - siehe meine Kontaktseite.

Stichwort Beschreibung

Bilder

Geometrie : Kreisumfang Berechnung des Kreisumfangs nach Innen-und Aussen-Vieleck - Grenzwerte Pi (Kreiskonstante)

Bild

Geometrie : Kreiskonstante Pi Iterationsverfahren für die Berechnung von 2*Pi ohne Winkelfunktionen, mit BASIC-Programm für Sharp PC-1401.

Bild 1 Bild 2

Geometrie : Sehne - Kreis und Sechseck Berechnung der Sehne im Kreis und im Sechseck

Bild

Geometrie : Kreise Überschneidung 2er Kreise

Bild 1 Bild 2

Geometrie : Ellipsen Berechnung und Konstruktion von Ellipsen

Bild 1 Bild 2

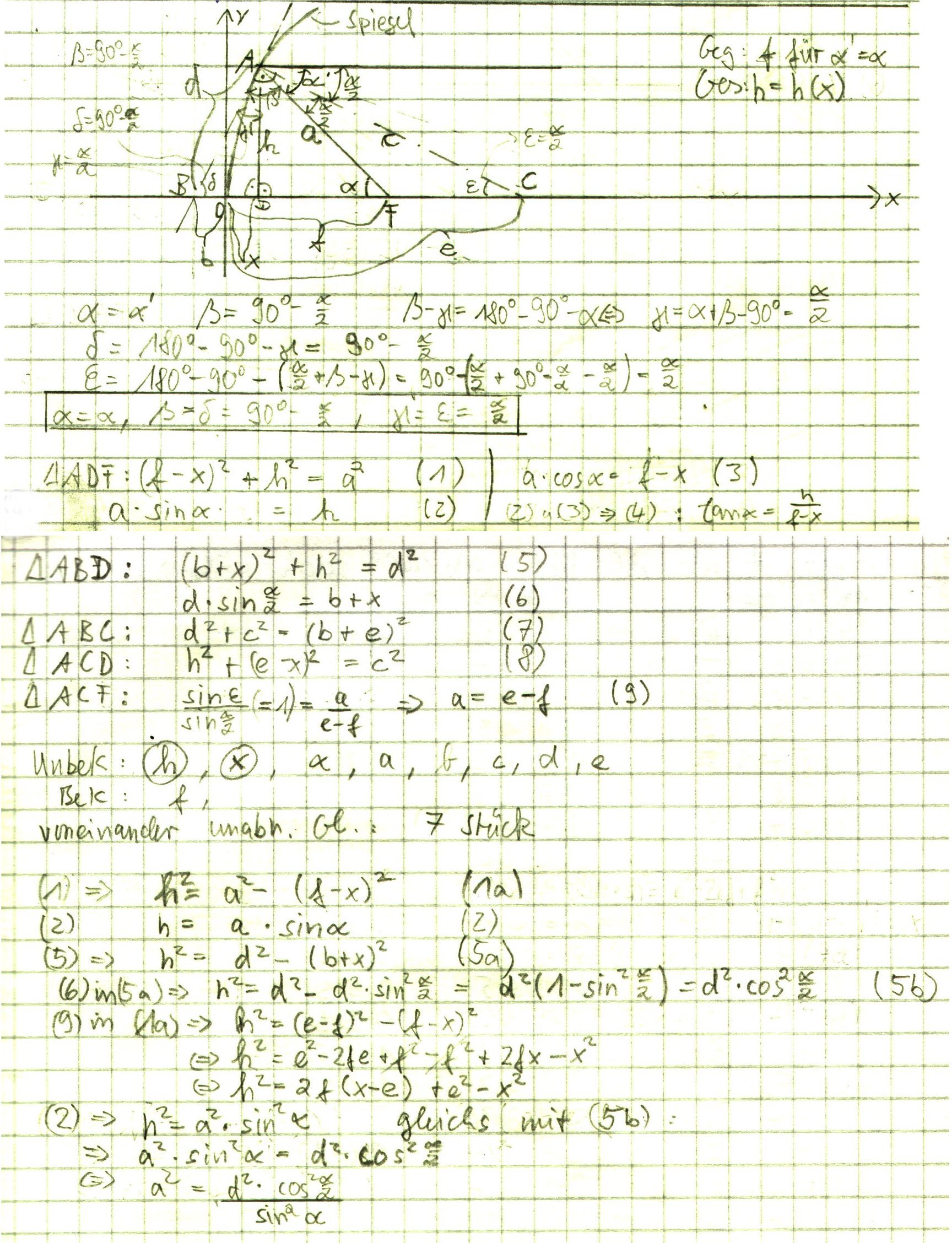
Geometrie : Spiegel Berechnung von Reflexionswinkeln bei einem Spiegel

Bild

Analytik : Funktionsanalyse Untersuchung einer Funktion auf Monotonie, Beschränktheit und Konvergenz

Bild

Analytik : Mittelwert einer Funktion Mittelwert einer Funktion in einem Intervall; Integralberechnung

Bild

Analytik : Polynome Schleifen in FORTRAN zur Berechnung von Polynomen und deren Ableitungen nach dem Horner-Schema.
Die FLOAT-Funktion konvertiert Integer(ganze Zahlen) zu Real-Zahlen.

Bild

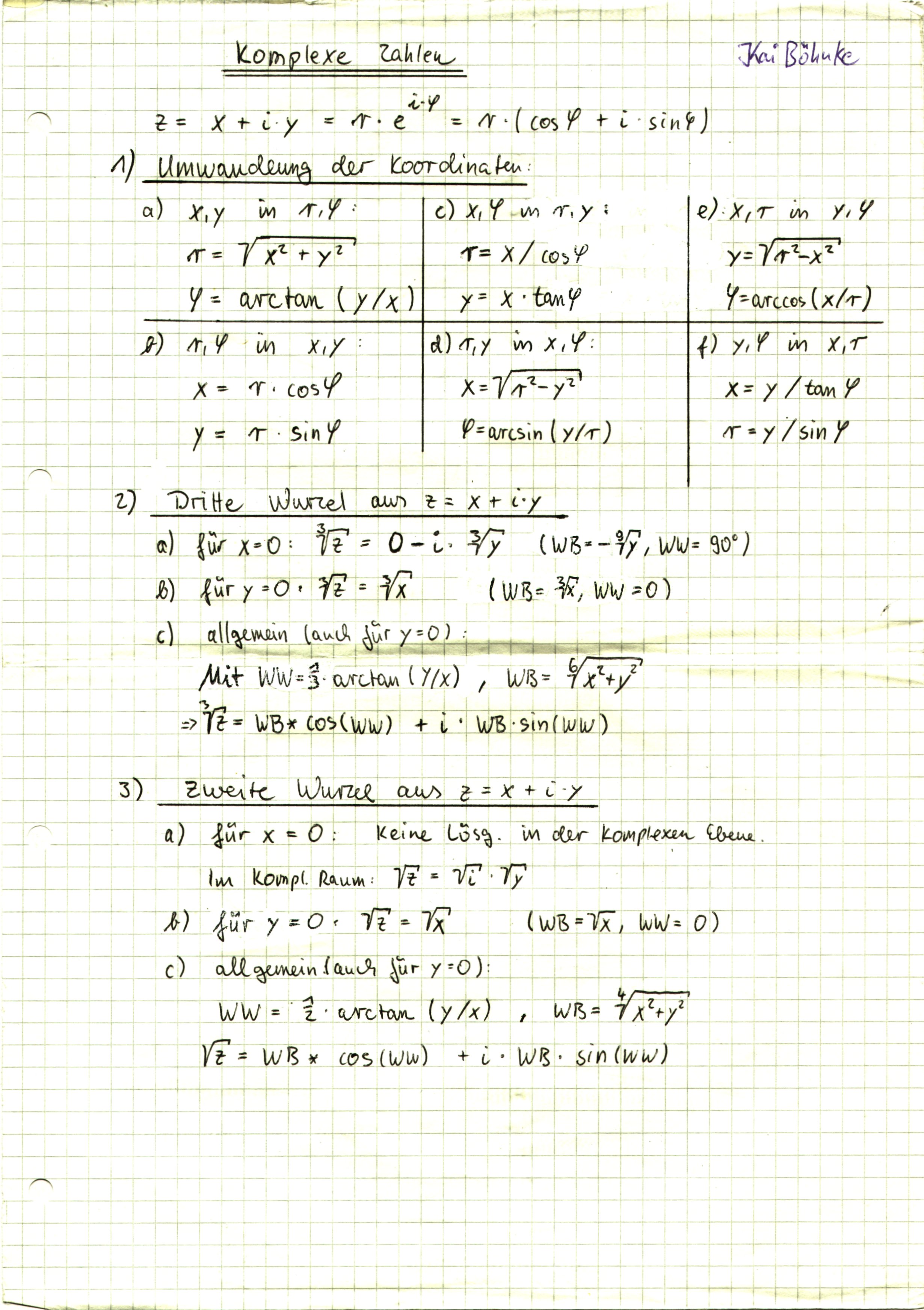
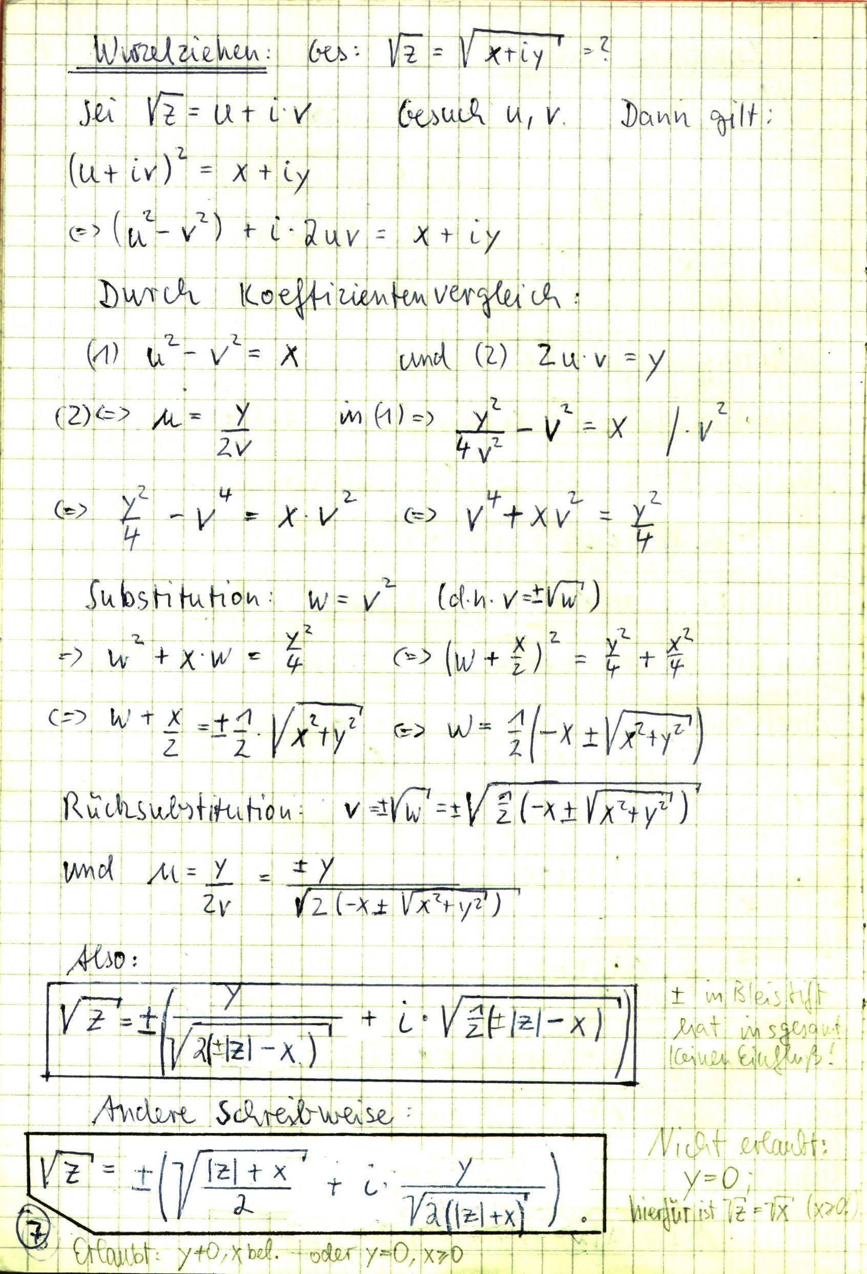
Komplexe Zahlen Umwandlung der Koordinaten; Zusammenhang komplexer Zahlen mit Winkelfunktionen; zweite und dritte Wurzel aus z=x+i*y

Bild 1 Bild 2 Bild 3

Komplexe Zahlen Verkettete trigonomische Funktionen; Zusammenhang komplexer Zahlen mit Winkelfunktionen

Bild 1 Bild 2 Bild 3

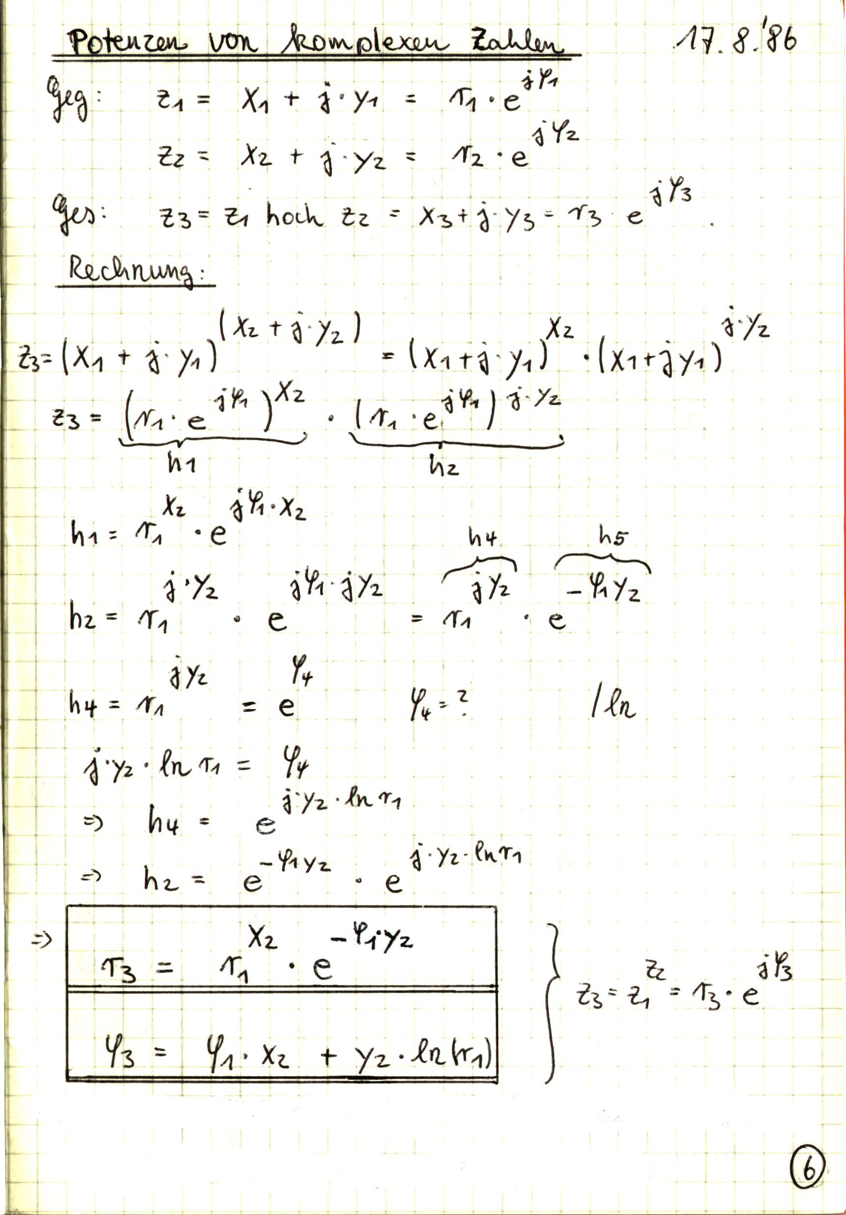
Komplexe Zahlen Potenzen komplexer Zahlen

Bild 1 Bild 2

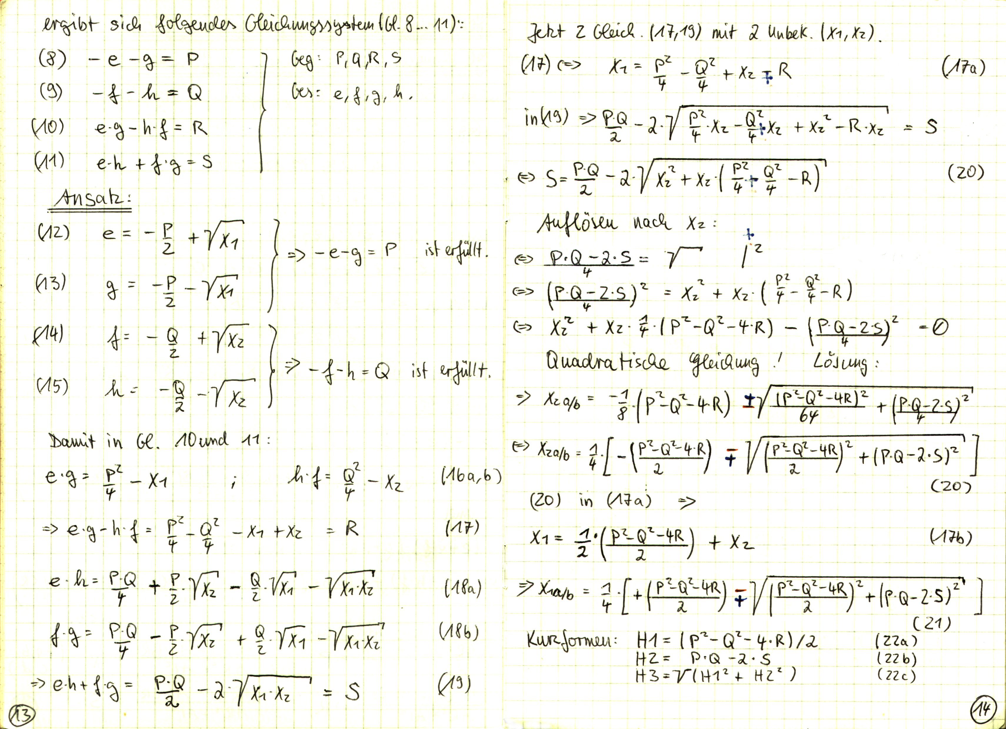
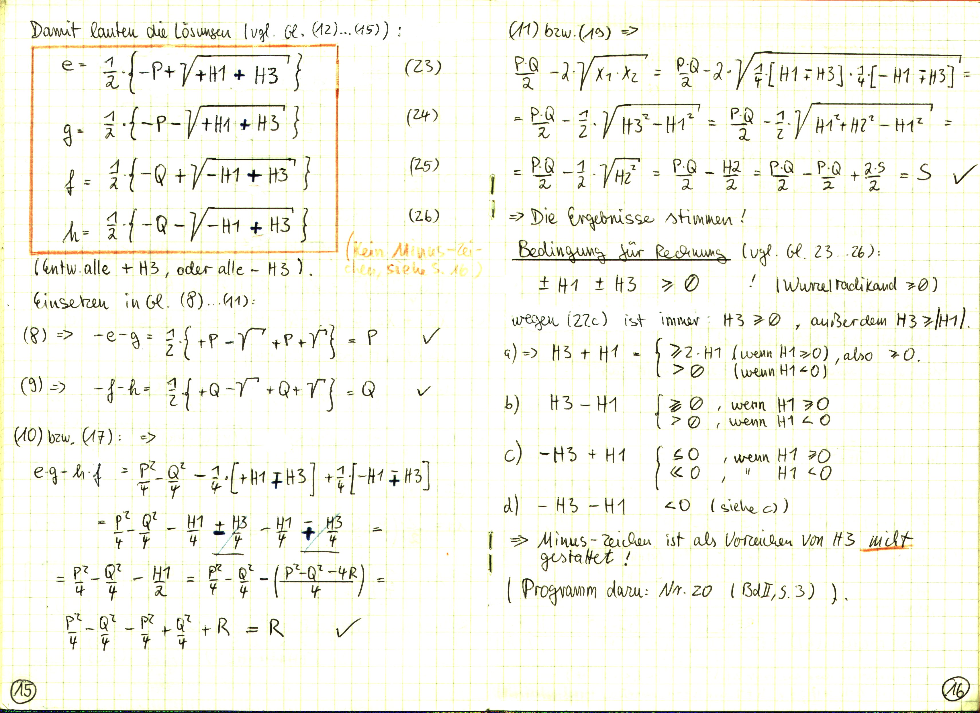
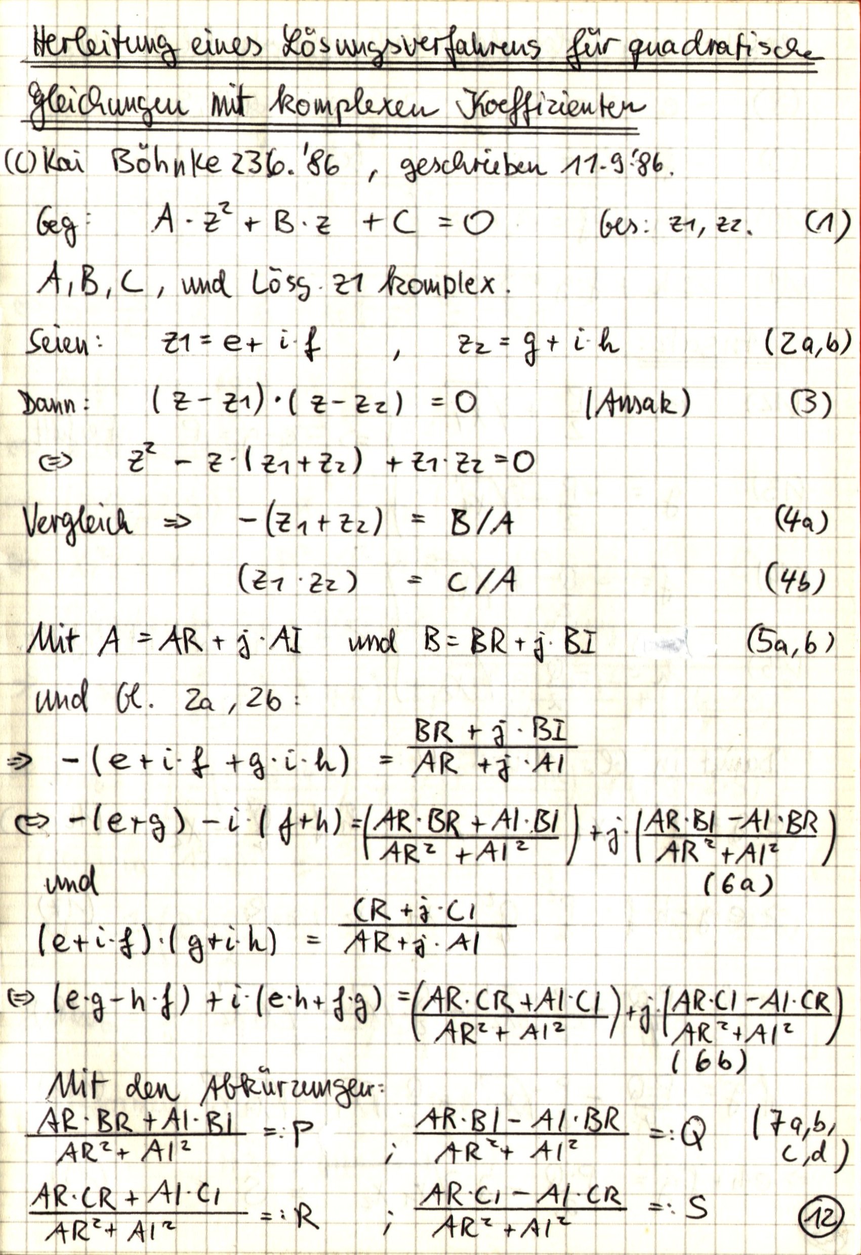
Komplexe Zahlen Herleitung eines Lösungsverfahrens für quadratische Gleichungen mit komplexen Koeffizienten

Bild 1 Bild 2 Bild 3

Koordinatenumrechnung Umrechnung von kartesischen Koordinaten zu Polarkoordinaten mit BASIC-Programm für Sharp PC-1401.

Bild

Vektorrechnung Vektoren : Summe, Differenz, Winkel, Länge, Multiplikation mit einem Skalar, Gleichheit, Projektion.

Bild

Vektorrechnung Abstand 2er windschiefer Geraden im Raum.

Bild 1 Bild 2 Bild 3

Uhrzeiger und Uhrzeit Zeiten und Winkel auf einer Uhr, zu denen der große und der kleine Zeiger genau übereinstimmen (übereinander liegen).

Bild

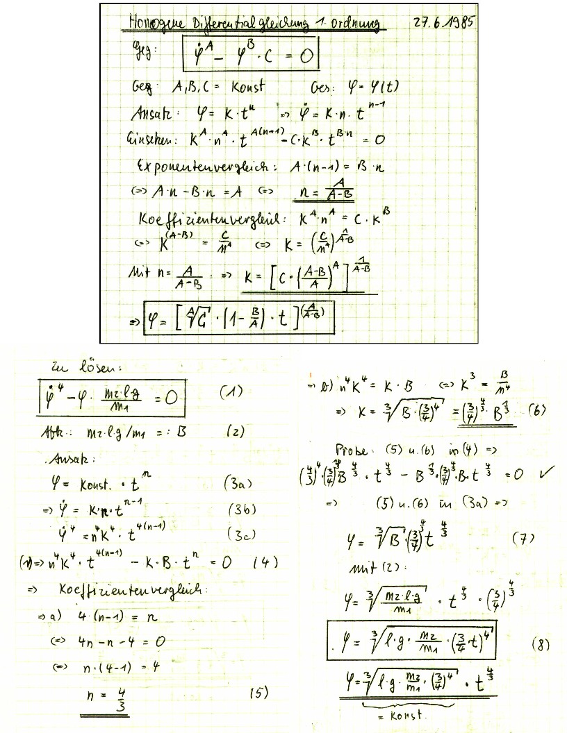
Differentialgleichung Homogene Differentialgleichung 1.Ordnung

Bild

Reihen Grenzwerte von Reihen (darunter die Eulersche Zahl "e"=2.718281828...); Zahlensummen

Bild 1 Bild 2

Darstellende Geometrie 3. Ansicht gesucht !

Bild

Kombinationen Kombinationen mehrerer Elemente zueinander

Bild

Oktaeder Oktaeder : Spitzenwikel, Kantenwinkel, Abstand 2er gegenüberliegenden Spitzen, Gesamtoberfläche, Rauminhalt, Abstand 2er gegenüberliegenden Flächen.

Bild 1 Bild 2

Letzte Aktualisierung : 02. Oktober 2016